長假剛過,景區里人山人海的景象還歷歷在目。旅途伊始,我以為會在各大景點觀賞祖國大好河山,肆意打卡各種網紅商店。誰曾想,各種排隊長龍把我直接逼回了酒店。整個國慶長假,我只是換了個城市刷手機睡覺。同行的小伙伴直呼,不出門在家睡覺多好!
<style>.hzh {display: none; }</style>在家睡覺,確實是不少人歡度假期的第一選擇。畢竟,人的一生中接近三分之一的時間都用來睡覺了。大家從小睡到大,從童年、青年、成年到暮年,直至最后一覺不醒。
睡覺是件大事,那睡多久才是好呢?

大家說:每天8小時睡眠最好
如果問身邊的小伙伴,每天睡多久最好?很多人會脫口而出:8小時。“每天睡滿8小時,才是優質的睡眠”,這種觀念深入人心。
為何會出現這種說法?8小時睡眠的起源可能與8小時工作制有關。
《資本論》曾提及,當年工人每天工作10-11小時,沒有雙休日,過度疲勞導致工作事故不斷。當年,工人提出了“8小時工作、8小時休閑、8小時睡眠”的口號,艱苦斗爭了數十年,成功爭取到8小時工作制,8小時睡眠或許起源于此。經過長時間地重復傳播,8小時睡眠論也越來越根深蒂固。
然而,科學上并不認可8小時睡眠。前英國睡眠協會會長尼克·利特爾黑爾斯的《睡眠革命》一書中也曾指出盲目追求8小時睡眠其實不是一件好事。[1]
既然8小時睡眠不靠譜,睡幾個小時才是最好的?小伙伴們眾說紛紜。
一方表示,“生前何必多睡,死后自會長眠,每天睡得越少越好!”
另一方表示,“除了睡覺不困,其他時間都困,每天睡得越多越好!”
到底睡多久最好?下面的研究或許可以解答。
JAMA Network Open:每天睡7小時,死亡風險最低
2021年9月3日,在JAMA子刊JAMA Network Open發布了一項關于睡眠時間與死亡率之間的研究。

圖源:doi:10.1001/jamanetworkopen.2021.22837
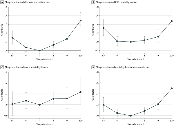
此研究涉及了來自中國、日本、韓國及新加坡的322721名參與者,平均年齡54.5歲。男性平均隨訪時間為14年,女性平均隨訪時間為13.4年。隨訪期間,男性有19419人死亡,女性有13768人死亡。根據睡眠時長分為6組:≤5小時、6小時、7小時、8小時、9小時、≥10小時,以7小時組為參考值。

男性睡眠時長與死亡風險之間的關聯:A為全因死亡風險,B為心血管疾病死亡風險,C為癌癥死亡風險,D為其他疾病死亡風險。
圖源:doi:10.1001/jamanetworkopen.2021.22837

女性睡眠時長與死亡風險之間的關聯:A為全因死亡風險,B為心血管疾病死亡風險,C為癌癥死亡風險,D為其他疾病死亡風險。
圖源:doi:10.1001/jamanetworkopen.2021.22837
從上面表格可看出,男性和女性睡眠時長7小時,全因死亡風險最低,心血管疾病死亡風險和其他疾病死亡風險也處于低點。每天睡眠超過10小時,男性和女性死亡風險最高。簡單來說,無論男女,處于7小時睡眠時長時,全因死亡率、心血管死亡率和其他原因死亡率均處于最低點。[2]
數據清晰而確鑿!看來,從降低死亡風險的角度來說,每天睡7小時是不錯的選擇。
參考資料:
[1] 健康界. “8小時睡眠論”可能是錯的!這9個睡覺常識很多人都不知道![EB/OL]. [2021.02.22]. https://www.cn-healthcare.com/articlewm/20210215/content-1190078.html.
[2] Svensson T, Saito E, Svensson AK, et al. Association of Sleep Duration With All- and Major-Cause Mortality Among Adults in Japan, China, Singapore, and Korea[J]. JAMA Netw Open. 2021;4(9):e2122837. doi:10.1001/jamanetworkopen.2021.22837




